I am a first-year Ph.D. student in Computer Science at the University of Ottawa, EECS, supervised by Prof. Changjian Shui. Previously, I completed my M.Sc. in Electrical Engineering at McGill University and Mila - Quebec AI Institute under the supervision of Prof. Tal Arbel. I also received my B.Eng. in Computer Engineering from McGill University.
My research focuses on advancing algorithms and methods for trustworthy machine learning, especially on uncertainty quantification, calibration, and fairness, with application in multimodal artificial intelligence for healthcare.
📰 News
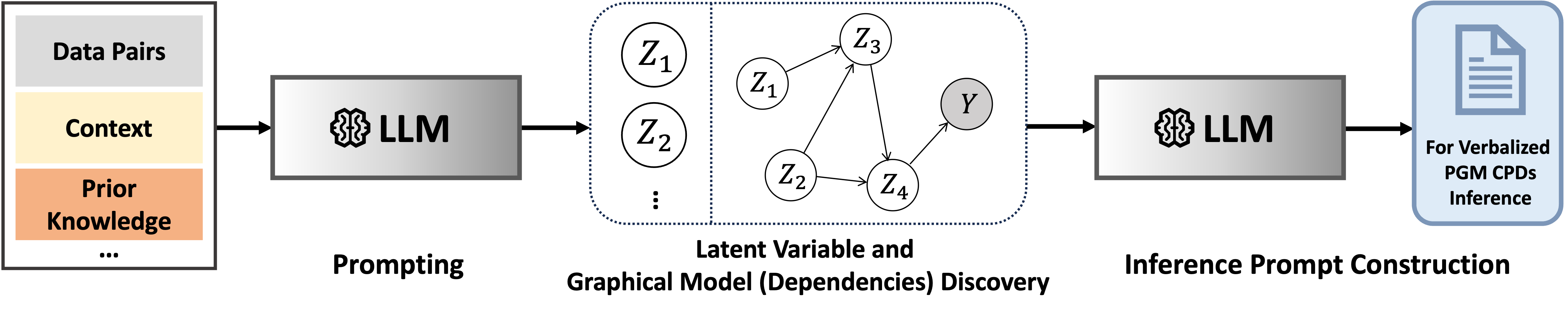
- 2025.11: Our paper “BayesAgent: Bayesian Agentic Reasoning Under Uncertainty via Verbalized Probabilistic Graphical Modeling” has been accepted to AAAI 2026.
- 2025.10: Our Calibration Guidance Prompt Generator 1.5B model is now live on Hugging Face 🤗 ! [Link]
📝 Publications

BayesAgent: Bayesian Agentic Reasoning Under Uncertainty via Verbalized Probabilistic Graphical Modeling
Hengguan Huang*, Xing Shen*, Guang-Yuan Hao, Songtao Wang, Lingfa Meng, Dianbo Liu, David Alejandro Duchene, Hao Wang, and Samir Bhatt
(*equal contribution) [Code] [Appendix]
The 40th Annual AAAI Conference on Artificial Intelligence, 2026

Xing Shen, Justin Szeto, Mingyang Li, Hengguan Huang, and Tal Arbel
The 28th International Conference on Medical Image Computing and Computer Assisted Intervention, 2025

Xing Shen, Hengguan Huang, Brennan Nichyporuk, and Tal Arbel
IEEE Transactions on Medical Imaging, 2025
- Prompt4Trust: A Reinforcement Learning Prompt Augmentation Framework for Clinically-Aligned Confidence Calibration in Multimodal Large Language Models
Anita Kriz*, Elizabeth Laura Janes*, Xing Shen*, and Tal Arbel
(*equal contribution) [Code] [Model] [Preprint]
IEEE/CVF International Conference on Computer Vision (ICCV) Workshops, 2025
🎖 Honors and Awards
- Healthy Brains, Healthy Lives (HBHL) Fellowship 2024
- McGill Undergraduate Research Award 2023
🎓 Education
- 2026.01 - now: Ph.D. in Computer Science, University of Ottawa.
- 2024.01 - 2025.12: M.Sc. in Electrical Engineering, McGill University and Mila - Quebec AI Institute. GPA 4.0/4.0.
- 2018.09 - 2023.05: B.Eng. in Computer Engineering, McGill University. Graduated with Distinction.
💻 Professional Service
- Conference reviewer for AISTATS 2025-2026 and NeurIPS 2025.
- Journal reviewer for Front. Radiol. and TMLR.